И.Петров, А.С.Векельян, А.В.Мартюшев*,
А.Сергеева*, И.В.Смоленов, О.И.Эпштейн*
Волгоградская медицинская академия; *Научно-производственная фирма "Материй Медика Холдинг", Москва
В простом слепом плацебо-контролируемом рандомизированном исследовании показана клиническая эффективность препарата "Импаза", содержащего сверхмалые дозы антител к эндотелиальной NO-синтазе. Установлено, что по способности улучшать эрекгильную функцию и другие показатели, характеризующие сексуальную сферу человека, импаза существенно превосходит плацебо, но несколько уступает силденафилу, обладая при этом лучшим профилем безопасности.
Ключевые слова: контролируемые исследования, эректилъная дисфункция, силденафил, сверхмалые дозы, антитела к эндотелиалъной NO-синтазе
Эректилъная дисфункция (ЭД) является хроническим состоянием и определяется как неспособность достигать и/или поддерживать эрекцию, достаточную для удовлетворения сексуальной активности. В настоящее время распространенность ЭД среди мужчин всех возрастов оценивают в 10%, а в группе мужчин 40-70 лет она достигает 52% [2]. Причины ЭД многообразны, но наиболее часто это состояние обусловлено психогенными факторами и нарушением кровообращения при заболеваниях сосудов. ЭД негативно влияет на качество жизни, самооценку, взаимоотношения с сексуальным партнером [3].
В последние годы установлено, что ЭД — состояние в значительной степени излечимое [4]. Стал доступен целый ряд лекарственных средств, предназначенных для лечения этого заболевания, однако заключения об эффективности большинства из них основаны на ограниченном числе описательных исследований. Силденафила цитрат ("Виагра") в настоящее время рассматривается в качестве "золотого стандарта" в лечении ЭД; его клиническая эффективность и безопасность подтверждены многими многоцентровыми контролируемыми исследованиями [4].
Результаты доклинических [1] и клинических исследований нового российского гомеопатического препарата "Импаза" (НПФ "Материа Медика Холдинг"), содержащего сверхмалые дозы антител к эндотелиальной NO-синтазе (C12+ C13+C200), указывают на наличие у него способности восстанавливать нормальную эрекгильную функцию. Однако до настоящего времени исследования эффективности и безопасности данного лекарственного средства в сравнении с таковыми силденафила и плацебо не проводились.
Целью настоящей работы являются сравнительная оценка клинической эффективности и безопасности импазы, силденафила и плацебо у пациентов с ЭД и определение места импазы в лечении данного состояния.
МЕТОДИКА ИССЛЕДОВАНИЯ
В простое слепое плацебо-контролируемое рандомизированное исследование в параллельных группах с периодом наблюдения 12 нед было включено 90 амбулаторных пациентов в возрасте 20-70 лет с ЭД (10-24 балла по шкале Международного индекса эректильной функции — МИЭФ). У подавляющего числа больных (77.7%) были верифицированы психогенные причины ЭД, у 21% — сосудистые. Средний возраст возникновения ЭД составил 43.5+1.1 года. Явления ЭД сохранялись в среднем в течение 4.1+0.5 го- да (0.5-13 лет) до момента включения в исследование.
В исследование не включали пациентов с хроническим алкоголизмом/наркоманией, имеющих заболевания, передающиеся половым путем, с декомпенсированными заболеваниями, которые могли повлиять на проведение исследования, с гиперчувствительностью к любому из компонентов препаратов, применяемых в исследовании, а также пациентов, не способных адекватно заполнить вопросник МИЭФ или участвовавших в других клинических исследованиях в течение предшествовавшего месяца.
С использованием процедуры блоковой рандомизации пациенты были разделены на 3 равные группы. Пациенты 1-й группы получали импазу по 1 таблетке для рассасывания во рту за 2 и 1 ч до полового акта; 2-й — силденафил ("Viagra", "Pfizer") по 25 мг за 1ч до полового акта, 3-й — плацебо (внешне сходную с импазой лекарственную форму, не содержащую активного вещества) по 1 таблетке за 2 и 1 ч до полового акта. Рекомендуемая частота приема препаратов во всех группах составляла 2-3 раза в неделю.
Клиническую эффективность оценивали через 4 и 12 нед после начала приема препаратов на основании динамики показателей вопросника МИЭФ (эректильная функция, удовлетворенность половым актом, оргазм, половое влечение, общая удовлетворенность), субъективного мнения пациента и заключения лечащего врача.
Под "отличным" эффектом понимали возрастание показателя "эректильная функция" более чем на 50% или достижения значения шкалы >25 баллов, под "хорошим" — возрастание показателя на 30-50%, "удовлетворительным" — на 10-30%, "без эффекта" — изменение показателя на ±10%, под "ухудшением" — снижение показателя на 10% и более.
Наличие и характер нежелательных явлений оценивали с использованием стандартного открытого вопроса, переносимость терапии — по 4-балльной визуальной шкале (1 балл — терапия переносится плохо, 4 — отлично).
РЕЗУЛЬТАТЫ ИССЛЕДОВАНИЯ
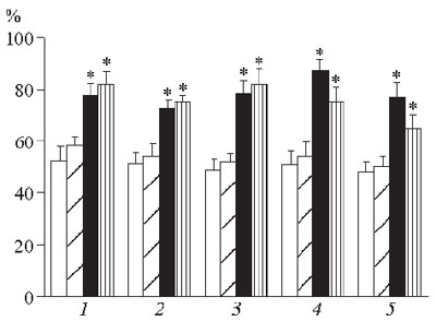
Назначение препарата импаза приводило к достоверному возрастанию интегративных параметров, характеризующих сексуальную сферу пациента (рисунок) уже через 4 нед лечения. Увеличение продолжительности приема препарата до 12 нед не привело к снижению его клинической эффективности. Так, средняя величина показателя "эректильная функция" достигла 77.8% от максимального. Увеличение других показателей также имело место, но их прирост был менее выраженным, чем в течение первых 4 нед применения препарата.
Назначение силденафила также приводило к выраженному повышению показателей МИЭФ (рисунок). При этом прирост большинства показателей, характеризующих сексуальную сферу пациента, составил 40-70%.
В группе плацебо отмечалась некоторая тенденция к возрастанию ряда показателей МИЭФ (рисунок), однако достоверные различия выявлены лишь в отношении такого признака, как "достаточность эрекции". При увеличении длительности наблюдения до 12 нед показатели "эректильная функция" и "оргазм" снизились до исходных значений.
Субъективно через 4 нед после начала лечения 7 (23.3%) больных расценили эффективность импазы как отличную, 19 (63.4%) — как хорошую, 3 (10%) — как удовлетворительную и 1 (3.3%) — как неудовлетворительную. Увеличение длительности лечения до 12 нед не привело к существенному изменению представлений пациента о клинической эффективности препарата.
На фоне приема силденафила отличные результаты терапии отметили 14 (46.7%) больных, хорошие — 7 (23.3%), удовлетворительные — 6 (20%). Трое больных были исключены из исследования из-за развития нежелательных лекарственных реакций (10%).

Изменения основных показателей, характеризующих сексуальную сферу пациентов с эректильной дисфункцией на фоне введения плацебо (12 нед, косая штриховка), импазы (12 нед, темные столбики) и силденафила (4 нед, вертикальная штриховка). 1 — эректильная функция, 2 — удовлетворенность половым актом, 3 — оргазм, 4 — либидо, 5 — общая удовлетворенность.
Светлые столбики — исходный уровень. *p<0.05 по сравнению с плацебо.
В группе плацебо отличные результаты лечения отметили 3 (10%) больных, хорошие — 6 (20%), удовлетворительные — 12 (40%), неудовлетворительные — 9 (30%). При увеличении продолжительности наблюдения до 12 нед только 4 (13.3%) пациента оценили результаты терапии как отличные и хорошие.
По врачебной оценке наиболее эффективным признано лечение силденафилом (отлично — 73.3%, хорошо — 10%, удовлетворительно — 3.3%) и импазой (46.7, 26.7 и 20% соответственно). На фоне лечения плацебо у 56.6% больных через 4 нед терапии зарегистрировано отсутствие эффекта.
Включенные в исследование пациенты в целом хорошо переносили проводимую терапию. На фоне приема импазы зарегистрирован 1 случай слабой головной боли, которая возникла через 3 ч после первого приема препарата (после завершения полового акта). В последующем больной прекратил прием импазы, аргументируя тем, что в дальнейшем лечении не нуждается. Связь между приемом препарата и развитием нежелательного явления расценена как маловероятная.
На фоне приема силденафила преобладающим побочным эффектом была головная боль (у 20% больных). Отмечены также приливы крови к лицу (6.6%), изменение четкости зрения (6.6%). Трое больных прекратили прием препарата из-за побочных эффектов (подъем артериального давления, головная боль, рвота, потребовавшие госпитализации и активной терапии; головная боль, сердцебиение, изменение зрения; головная боль, боли в животе, диарея). Все нежелательные явления возникли через 1-6 ч после первого приема препарата и потребовали назначения дополнительного лечения. Связь между приемом препарата и развитием нежелательного явления расценена как вероятная. В группе плацебо у 1 пациента отмечена диспепсия.
Таким образом, по способности улучшать эректильную функцию и другие показатели, характеризующие сексуальную сферу мужчины, импаза существенно превосходит плацебо, но несколько уступает силденафилу. При этом эффект препарата не ослабевает со временем (на протяжении 12 нед). Импаза обладает лучшим профилем безопасности, чем силденафил. Все вышесказанное позволяет рекомендовать импа- зу в качестве препарата выбора при лечении ЭД.
ЛИТЕРАТУРА
- Боровская Т.Г., Лоскутова О.П., Эпштейн О.И., Зак М.С. // Бюл. экспер. биол. 2001. Прил. 3. С. 52-53.
- Benet A.E., Melman A. // Urol. Clin. N. Am. 1995. Vol. 22. P. 699-709.
- Feldman H.A., Goldstein I., Hatzichristou D.G. et al. // J. Urol. 1994. Vol. 151. P. 54-61.
- NIH consensus development panel on impotence // JAMA. 1993. Vol. 270. P. 83-90.




Комментарии